Tutorial: Multiple Linear Regression with Forward Selection
1 Setting up R Packages
Plot Fonts and Theme
Show the Code
library(systemfonts)
library(showtext)
library(tidyverse)
## Clean the slate
systemfonts::clear_local_fonts()
systemfonts::clear_registry()
##
showtext_opts(dpi = 96) # set DPI for showtext
sysfonts::font_add(
family = "Alegreya",
regular = "../../../../../../../fonts/Alegreya-Regular.ttf",
bold = "../../../../../../../fonts/Alegreya-Bold.ttf",
italic = "../../../../../../../fonts/Alegreya-Italic.ttf",
bolditalic = "../../../../../../../fonts/Alegreya-BoldItalic.ttf"
)
sysfonts::font_add(
family = "Roboto Condensed",
regular = "../../../../../../../fonts/RobotoCondensed-Regular.ttf",
bold = "../../../../../../../fonts/RobotoCondensed-Bold.ttf",
italic = "../../../../../../../fonts/RobotoCondensed-Italic.ttf",
bolditalic = "../../../../../../../fonts/RobotoCondensed-BoldItalic.ttf"
)
showtext_auto(enable = TRUE) # enable showtext
##
theme_custom <- function() {
font <- "Alegreya" # assign font family up front
"%+replace%" <- ggplot2::"%+replace%" # nolint
ggplot2::theme_classic(base_size = 14, base_family = font) %+replace% # replace elements we want to change
theme(
text = element_text(family = font), # set base font family
# text elements
plot.title = element_text( # title
family = font, # set font family
size = 24, # set font size
face = "bold", # bold typeface
hjust = 0, # left align
margin = margin(t = 5, r = 0, b = 5, l = 0)
), # margin
plot.title.position = "plot",
plot.subtitle = element_text( # subtitle
family = font, # font family
size = 14, # font size
hjust = 0, # left align
margin = margin(t = 5, r = 0, b = 10, l = 0)
), # margin
plot.caption = element_text( # caption
family = font, # font family
size = 9, # font size
hjust = 1
), # right align
plot.caption.position = "plot", # right align
axis.title = element_text( # axis titles
family = "Roboto Condensed", # font family
size = 12
), # font size
axis.text = element_text( # axis text
family = "Roboto Condensed", # font family
size = 9
), # font size
axis.text.x = element_text( # margin for axis text
margin = margin(5, b = 10)
)
# since the legend often requires manual tweaking
# based on plot content, don't define it here
)
}
## Use available fonts in ggplot text geoms too!
ggplot2::update_geom_defaults(geom = "text", new = list(
family = "Roboto Condensed",
face = "plain",
size = 3.5,
color = "#2b2b2b"
))
## Set the theme
ggplot2::theme_set(new = theme_custom())
2 Introduction
In this tutorial, we will use the Boston housing Hitters dataset(s) from the ISLR package. Our research question is:
How do we predict the Salary of baseball players based on other Quantitative parameters such as Hits, HmRun AtBat?
And how do we choose the “best” model, based on a trade-off between Model Complexity and Model Accuracy?
3 Workflow Plan
Our target variable is Salary.
We will start with an examination of correlations between Salary and other Quant predictors.
We will use a null model for our Linear Regression at first, keeping just an intercept term. Based on the examination of the r-square improvement offered by each predictor individually, we will add another quantitative predictor. We will follow this process through up to a point where the gains in model accuracy are good enough to justify the additional model complexity.
This approach is the exact opposite of the earlier tutorial on multiple linear regression, where we started with a maximal model and trimmed it down based on an assessment of r.squared.
4 Workflow: EDA
The Hitters dataset has the following variables:
categorical variables:
name class levels n missing
1 League factor 2 322 0
2 Division factor 2 322 0
3 NewLeague factor 2 322 0
distribution
1 A (54.3%), N (45.7%)
2 W (51.2%), E (48.8%)
3 A (54.7%), N (45.3%)
quantitative variables:
name class min Q1 median Q3 max mean sd n missing
1 AtBat integer 16.0 255.2 379.5 512.0 687 380.93 153.40 322 0
2 Hits integer 1.0 64.0 96.0 137.0 238 101.02 46.45 322 0
3 HmRun integer 0.0 4.0 8.0 16.0 40 10.77 8.71 322 0
4 Runs integer 0.0 30.2 48.0 69.0 130 50.91 26.02 322 0
5 RBI integer 0.0 28.0 44.0 64.8 121 48.03 26.17 322 0
6 Walks integer 0.0 22.0 35.0 53.0 105 38.74 21.64 322 0
7 Years integer 1.0 4.0 6.0 11.0 24 7.44 4.93 322 0
8 CAtBat integer 19.0 816.8 1928.0 3924.2 14053 2648.68 2324.21 322 0
9 CHits integer 4.0 209.0 508.0 1059.2 4256 717.57 654.47 322 0
10 CHmRun integer 0.0 14.0 37.5 90.0 548 69.49 86.27 322 0
11 CRuns integer 1.0 100.2 247.0 526.2 2165 358.80 334.11 322 0
12 CRBI integer 0.0 88.8 220.5 426.2 1659 330.12 333.22 322 0
13 CWalks integer 0.0 67.2 170.5 339.2 1566 260.24 267.06 322 0
14 PutOuts integer 0.0 109.2 212.0 325.0 1378 288.94 280.70 322 0
15 Assists integer 0.0 7.0 39.5 166.0 492 106.91 136.85 322 0
16 Errors integer 0.0 3.0 6.0 11.0 32 8.04 6.37 322 0
17 Salary numeric 67.5 190.0 425.0 750.0 2460 535.93 451.12 263 59
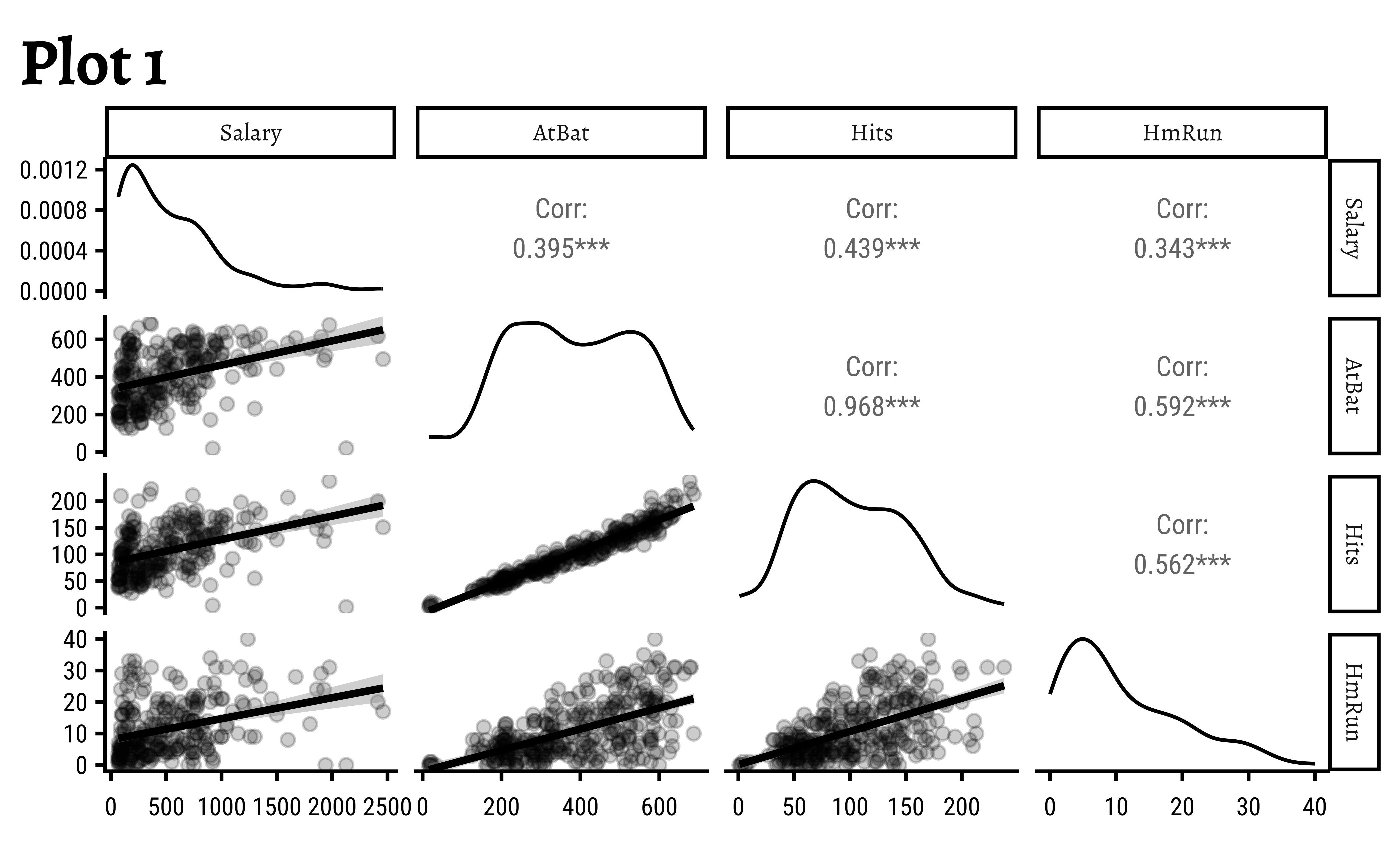
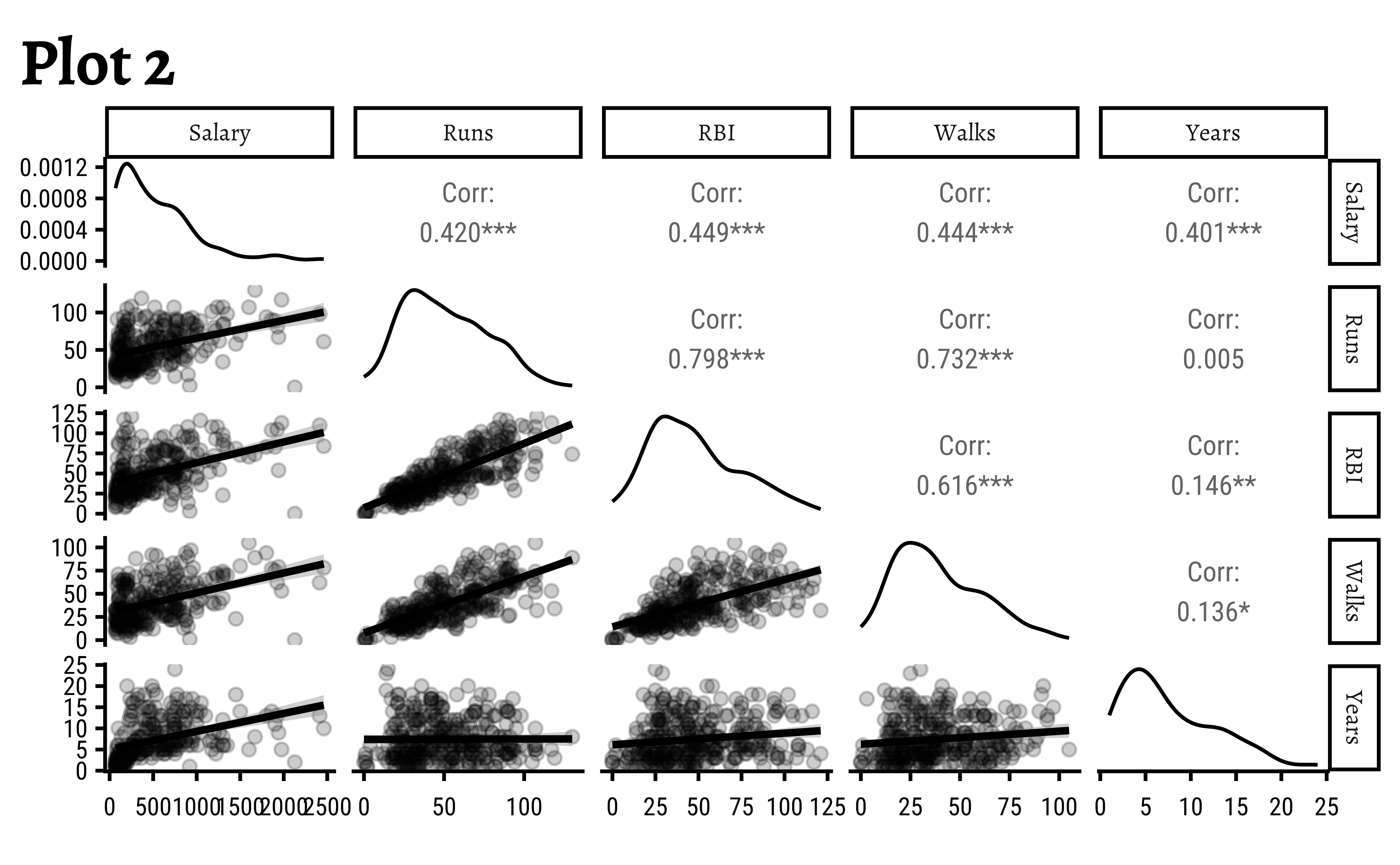
4.1 Scatter Plots and Correlations
We should examine scatter plots and Correlations of Salary against these variables. Let us select a few sets of Quantitative and Qualitative features, along with the target variable Salary and do a pairs-plots with them:
Show the Code
Hitters %>%
select(Salary, AtBat, Hits, HmRun) %>%
GGally::ggpairs(title = "Plot 1", lower = list(continuous = wrap("smooth", alpha = 0.2)))
Hitters %>%
select(Salary, Runs, RBI, Walks, Years) %>%
GGally::ggpairs(title = "Plot 2", lower = list(continuous = wrap("smooth", alpha = 0.2)))
Hitters %>%
select(Salary, CRBI, CAtBat, CHits, CHmRun, CRuns, CWalks) %>%
GGally::ggpairs(title = "Plot 3", lower = list(continuous = wrap("smooth", alpha = 0.2)))
Hitters %>%
select(Salary, PutOuts, Assists, Errors) %>%
GGally::ggpairs(title = "Plot 4", lower = list(continuous = wrap("smooth", alpha = 0.2)))
Hitters %>%
select(Salary, League, Division, NewLeague) %>%
GGally::ggpairs(title = "Plot 5", lower = list(continuous = wrap("smooth", alpha = 0.2)))AtBat and Hits seem relevant predictors for Salary. So are Runs, RBI,Walks, and Years. From Plot 2, both RBI and Walks are also inter-correlated with Runs. All the C* variables are well correlated with Salary and also among one another. (Plot3). Plot 4 has no significant correlations at all. Plot 5 shows Salary nearly equally distributed across League, Division, and NewLeague.
4.2 Correlation Error-Bars
We can also plot all correlations in one graph using cor.test and purrr:
Show the Code
all_corrs <-
Hitters %>%
select(where(is.numeric)) %>%
# leave off Salary and year to get all the remaining ones
select(-Salary) %>%
# perform a cor.test for all variables against Salary
purrr::map(
.x = .,
.f = \(x) cor.test(x, Hitters$Salary)
) %>%
# tidy up the cor.test outputs into a tidy data frame
map_dfr(broom::tidy, .id = "predictor") %>%
arrange(desc(estimate))
all_corrs
all_corrs %>%
gf_hline(
yintercept = 0,
linewidth = 2,
color = "grey"
) %>%
gf_errorbar(
conf.high + conf.low ~ reorder(predictor, estimate),
color = ~estimate,
linewidth = ~ -log10(p.value),
width = 0.5,
caption = "Significance = -log10(p.value)"
) %>%
gf_point(estimate ~ reorder(predictor, estimate), size = 2) %>%
gf_labs(
title = "Correlation Scores with Target Variable",
x = NULL, y = "Correlation with Salary"
) %>%
# gf_theme(theme = my_theme()) %>%
gf_refine(
scale_colour_distiller("Correlation",
type = "div",
palette = "RdBu"
),
scale_linewidth_continuous("Significance", range = c(0.25, 3))
) %>%
gf_refine(
guides(linewidth = guide_legend(reverse = TRUE)),
theme(axis.text.x = element_text(hjust = 1))
) %>%
gf_refine(
guides(linewidth = guide_legend(reverse = TRUE)),
coord_flip()
)There are a good many predictors which have statistically significant correlations with Salary, such as CRuns , CHmRun. The darker the colour, the higher is the correlation score; the fatter the bar, the higher is the significance of the correlation.
We now start with setting up simple Linear Regressions with no predictors, only an intercept. We then fit separate Linear Models using each predictor individually. Then based on the the improvement in r.squared offered by each predictor, we progressively add it to the model, until we are “satisfied” with the quality of the model ( using rsquared and other means).
Let us now do this.
5 Workflow: Minimal Multiple Regression Model
Note the formula structure here: we want just and intercept.
Call:
lm(formula = Salary ~ 1, data = Hitters)
Residuals:
Min 1Q Median 3Q Max
-468 -346 -111 214 1924
Coefficients:
Estimate Std. Error t value Pr(>|t|)
(Intercept) 535.9 27.8 19.3 <2e-16 ***
---
Signif. codes: 0 '***' 0.001 '**' 0.01 '*' 0.05 '.' 0.1 ' ' 1
Residual standard error: 451 on 262 degrees of freedom
(59 observations deleted due to missingness)
OK, so the intercept is highly significant, the t-statistic is also high, but the intercept contributes nothing to the r.squared!! It is of no use at all!
6 Workflow: Predictor Addition (Round#1)
We will now set up individual models for each predictor and look at the p.value and r.squared offered by each separate model:
names <- names(Hitters %>%
select(
where(is.numeric),
-c(Salary)
))
n_vars <- length(names)
Hitters_model_set <- tibble(
all_vars = list(names),
keep_vars = seq(1, n_vars),
data = list(Hitters)
)
# Unleash purrr in a series of mutates
Hitters_model_set <- Hitters_model_set %>%
# Select Single Predictor for each Simple Model
mutate(
mod_vars =
pmap(
.l = list(all_vars, keep_vars, data),
.f = \(all_vars, keep_vars, data) all_vars[keep_vars]
)
) %>%
# build formulae with these for linear regression
mutate(formula = map(
.x = mod_vars,
.f = \(mod_vars) as.formula(paste(
"Salary ~", paste(mod_vars, collapse = "+")
))
)) %>%
# use the formulae to build multiple linear models
mutate(
models =
pmap(
.l = list(data, formula),
.f = \(data, formula) lm(formula, data = data)
)
)
# Tidy up the models using broom to expose their metrics
Hitters_model_set <-
Hitters_model_set %>%
mutate(
tidy_models =
map(
.x = models,
.f = \(x) broom::glance(x,
conf.int = TRUE,
conf.lvel = 0.95
)
),
predictor_name = names[keep_vars]
) %>%
# Remove unwanted columns, keep model and predictor count
select(keep_vars, predictor_name, tidy_models) %>%
unnest(tidy_models) %>%
arrange(desc(r.squared))
# Check everything after the operation
Hitters_model_set
# Plot r.squared vs predictor count
Hitters_model_set %>%
gf_point(r.squared ~ reorder(predictor_name, r.squared),
size = 3.5,
color = "black",
ylab = "R.Squared",
xlab = "Params in the Linear Model", data = .
) %>%
# gf_theme(my_theme()) %>%
gf_refine(theme(axis.text.x = element_text(
angle = 30,
hjust = 1
)))[1] "CRBI"
So we can add CRBI as a predictor to our model as a predictor gives us an improved r.squared of \(0.321\), which is the square of the correlation between Salary and CRBI, \(.567\).
And the model itself is: \[ Salary \sim 274.580 + 0.791 \times CRBI \tag{1}\]
Let’s press on to Round 2.
7 Workflow: Predictor Addition (Round #2)
We will set up a round-2 model using CRBI as the predictor, and then proceed to add each of the other predictors as an update to the model.
# Preliminaries
names <- names(Hitters %>%
select(where(is.numeric), -c(Salary, winner)))
# names
n_vars <- length(names)
# n_vars
# names <- names %>% str_remove(winner)
# names
# n_vars <- n_vars-1
# Round 2 Iteration
Hitters_model_set <- tibble(
all_vars = list(names),
keep_vars = seq(1, n_vars),
data = list(Hitters)
)
# Hitters_model_set
# Unleash purrr in a series of mutates
Hitters_model_set <- Hitters_model_set %>%
# list of predictor variables for each model
mutate(
mod_vars =
pmap(
.l = list(all_vars, keep_vars, data),
.f = \(all_vars, keep_vars, data) all_vars[keep_vars]
)
) %>%
# build formulae with these for linear regression
mutate(formula = map(
.x = mod_vars,
.f = \(mod_vars) as.formula(paste(
"Salary ~ CRBI +", paste(mod_vars, collapse = "+")
))
)) %>%
# use the formulae to build multiple linear models
mutate(
models =
pmap(
.l = list(data, formula),
.f = \(data, formula) lm(formula, data = data)
)
)
# Check everything after the operation
# Hitters_model_set
# Tidy up the models using broom to expose their metrics
Hitters_model_set <-
Hitters_model_set %>%
mutate(
tidy_models =
map(
.x = models,
.f = \(x) broom::glance(x,
conf.int = TRUE,
conf.lvel = 0.95
)
),
predictor_name = names[keep_vars]
) %>%
# Remove unwanted columns, keep model and predictor count
select(keep_vars, predictor_name, tidy_models) %>%
unnest(tidy_models) %>%
arrange(desc(r.squared))
Hitters_model_set
# Plot r.squared vs predictor count
Hitters_model_set %>%
gf_point(r.squared ~ reorder(predictor_name, r.squared),
size = 3.5,
ylab = "R.Squared",
xlab = "Param in the Linear Model"
) %>%
# gf_theme(my_theme()) %>%
gf_refine(theme(axis.text.x = element_text(
angle = 30,
hjust = 1
)))[1] "Hits"
And now the model itself is: \[ Salary \sim -47.96 + 0.691 \times CRBI + 3.30 \times Hits \tag{2}\]
Note the change in both intercept and the slope for CRBI when the new predictor Hits is added!!
8 Workflow: Visualization
Let us quickly see how this model might look. We know that with simple regression, we obtain a straight line as our model. Here, with two (or more) predictors, we should obtain a ….(hyper)plane! Play with the interactive plot below!
9 Discussion
It is interesting that the second variable to be added was Hits which has a lower correlation of \(r = 0.439\) with Salary compared to some other Quant predictors such as Chits( \(r = 0.525\) ). This is because CRBI is hugely correlated with all of these predictors, so CRBI effectively acts as a proxy for all of these. See Plot 3.
We see that adding Hits to the model gives us an improved r.squared of \(0.425\).
10 Conclusion
We can proceed in this way to subsequent rounds and decide to stop when the model complexity (no. of predictors ) and the resulting gain in r.squared does not seem worth it.
We ought to convert the above code into an R function and run it that way for a specific number of rounds to see how things pan out. That is in the next version of this Tutorial! It appears that there is, what else, an R Package, called reghelper that allows us to do this! 😇 The reghelper::build_model() function can be used to:
- Start with only an intercept
- Sequentially add each of the other predictor variables into the model “blocks”
- Blocks will be added in the order they are passed to the function, and variables from previous blocks will be included with each subsequent block, so they do not need to be repeated.
Type help(rehelper) in your Console.
library(reghelper)
big_model <- build_model(
dv = Salary,
# Start with only an intercept lm(Salary ~ 1, data = .)
# Sequentially add each of the other predictor variables
# Pass through variable names (or interaction terms) to add for each block.
# To add one term to a block, just pass it through directly;
# to add multiple terms at a time to a block, pass it through in a vector or list.
# Interaction Terms can be specified using the vector/list
# Blocks will be added in the order they are passed to the function
# Variables from previous blocks will be included with each subsequent block, so they do not need to be repeated.
1, AtBat, Hits, HmRun, Runs, RBI, Walks, Years, CAtBat, CHits,
CHmRun, CRuns, CRBI, CWalks, PutOuts, Assists, Errors,
data = Hitters,
model = "lm"
)This multiple model is a list object with 4 items. Type summary(big_model) in your Console.
We can clean it up a wee bit:
library(gt)
# big_model has 4 parts: formulas, residuals, coefficients, overall
overall_clean <- summary(big_model)$overall %>%
as_tibble() %>%
janitor::clean_names()
formulas_clean <- summary(big_model)$formulas %>%
as.character() %>%
as_tibble() %>%
rename("model_formula" = value)
all_models <- cbind(formulas_clean, overall_clean) %>%
dplyr::select(1, 2, 8)
all_models %>%
gt::gt() %>%
tab_style(
style = cell_fill(color = "grey"),
locations = cells_body(rows = seq(1, 18, 2))
)| model_formula | r_squared | delta_r_sq |
|---|---|---|
| Salary ~ 1 | NA | NA |
| Salary ~ 1 + AtBat | 0.156 | NA |
| Salary ~ 1 + AtBat + Hits | 0.204 | 0.047748 |
| Salary ~ 1 + AtBat + Hits + HmRun | 0.227 | 0.023530 |
| Salary ~ 1 + AtBat + Hits + HmRun + Runs | 0.227 | 0.000137 |
| Salary ~ 1 + AtBat + Hits + HmRun + Runs + RBI | 0.244 | 0.016807 |
| Salary ~ 1 + AtBat + Hits + HmRun + Runs + RBI + Walks | 0.307 | 0.062553 |
| Salary ~ 1 + AtBat + Hits + HmRun + Runs + RBI + Walks + Years | 0.409 | 0.101919 |
| Salary ~ 1 + AtBat + Hits + HmRun + Runs + RBI + Walks + Years + CAtBat | 0.455 | 0.046369 |
| Salary ~ 1 + AtBat + Hits + HmRun + Runs + RBI + Walks + Years + CAtBat + CHits | 0.471 | 0.016234 |
| Salary ~ 1 + AtBat + Hits + HmRun + Runs + RBI + Walks + Years + CAtBat + CHits + CHmRun | 0.488 | 0.016771 |
| Salary ~ 1 + AtBat + Hits + HmRun + Runs + RBI + Walks + Years + CAtBat + CHits + CHmRun + CRuns | 0.488 | 0.000333 |
| Salary ~ 1 + AtBat + Hits + HmRun + Runs + RBI + Walks + Years + CAtBat + CHits + CHmRun + CRuns + CRBI | 0.489 | 0.001157 |
| Salary ~ 1 + AtBat + Hits + HmRun + Runs + RBI + Walks + Years + CAtBat + CHits + CHmRun + CRuns + CRBI + CWalks | 0.498 | 0.008575 |
| Salary ~ 1 + AtBat + Hits + HmRun + Runs + RBI + Walks + Years + CAtBat + CHits + CHmRun + CRuns + CRBI + CWalks + PutOuts | 0.522 | 0.023739 |
| Salary ~ 1 + AtBat + Hits + HmRun + Runs + RBI + Walks + Years + CAtBat + CHits + CHmRun + CRuns + CRBI + CWalks + PutOuts + Assists | 0.527 | 0.005401 |
| Salary ~ 1 + AtBat + Hits + HmRun + Runs + RBI + Walks + Years + CAtBat + CHits + CHmRun + CRuns + CRBI + CWalks + PutOuts + Assists + Errors | 0.528 | 0.000814 |
So we have a list of all models with main effects only. We could play with the build_model function to develop interaction models too! Slightly weird that the NULL model of Salary~1 does not show an r.squared value with build_model…??
11 References
https://ethanwicker.com/2021-01-11-multiple-linear-regression-002/
R Package Citations
Citation
@online{v.2023,
author = {V., Arvind},
title = {Tutorial: {Multiple} {Linear} {Regression} with {Forward}
{Selection}},
date = {2023-05-13},
url = {https://madhatterguide.netlify.app/content/courses/Analytics/30-Modelling/Modules/20-LinReg/files/forward-selection-1.html},
langid = {en},
abstract = {Using Multiple Regression to predict Quantitative Target
Variables}
}








